transfo de sortie

Bonjour,

J’ai déja eu l’occasion d’utiliser des transfos d’alim en sortie, et ça fonctione.
C’était du 2x 110 Vprimaire 2x9 V secondaire, utilsés sur des 6V6.
je viens de m’en procurer deux dont les primaires sont 2x 110 et 2x15 en secondaire.
Puis-je les utiliser sur des 6V6 mais dans ce cas quelle sera l’impédance du secondaire?

Sinon je peut débobiner le secondaire pour 9V puisque c’est ce qui est conseillé.

Vos avis sont les bienvenus.

Cordilement André

Bonjour,
Vous ne précisez pas si c’est pour une utilisation Push ou tube unique,
dans cette derniére hypothése , le calcul est le suivant :
l’impédance de charge recommandée pour la 6V6 étant de 5000 ohms ,
le rapport de transformation pour votre premier transfo 9v étant au plus
220/9 , l’impédance secondaire pour obtenir 5000ohms primaires sera
5000* ( 9/220) ^2 = 8.37 ohms , compatible de bcp de HP

Si vous faites le méme calcul avec le transformateur 15 V , vous trouverez une charge secondaire de 23 ohms , plutot hors de l’épure sauf à mettre des HP en série

Derniére remarque s’il s’agit bien d’un étage à tube unique : un transfo d’alim , sans entrefer , risque d’étre saturé par le courant de l’étage , au détriment de la réponse en TBF : s’il vous est possible d’en ménager un de qqs diziémes de mms , le fonctionnement n’en sera que meilleur

Bien cordialement

Bonjour,

Et merci pour cette première réponse.

J’ai oublié de préciser qu’il s’agit dans les deux cas d’un étage PP
la proposition du secondaire 9v venait d’un article parru dans electronique pratique il y a déja quelques années, j’ai réalisé et sa fonctionne.

Si je suis votre résonement, j’ai interret a débobiner quelques spires pour obtenir 9 volts qui se raprocheront de 8 homs.

je vais y réfléchir.

Cordialement André

Rebonsoir, André,

Puisqu’il s’agit d’un Push, l’impédance anode / anode devra plutot se situer autour de 8000 ohms , soit par rapport à 8 ohms un rapport de transformation = 32
il faudrait dans ce cas que les deux demi secondaires fournissent chacun 6.9V , donc enlever plus de la moitié des tours

bien sur , la remarque sur l’entrefer devient sans objet

Bien cordialement

je me demande si un transfo alim 50hz même si on lui met un entrefer est adapté pour faire de la bf, on ne bobine pas de la même maniere en
bf, symetrie des enroulements ,voir en sandwich pour limiter les capacités
parasites,et des toles agrains orientés ou a je ne sait quels autres aditifs,
tout cela pour grimper a 15000hz, si c’est pour réparer un Bouyer ou faire
un ampli public adress, alors là, pourquoi pas, seulement pour essayer

Tout à fait d’accord, ce type de transfo ne peut constituer qu’une solution par défaut dans des utilisations ou la bande audio sera plus proche du téléphone 300/3400 Hz que de la HIFI: self primaire généralement trés insuffisante , self de fuite par contre conséquente du fait de la non imbrication des enroulements , pertes dans le matériau magnétique …

Beaucoup néanmois se dépannent de la sorte sur de petits postes AM dont la fidélité de reproduction n’est pas la qualité premiére

Bien cordialement

D’accord avec ce qui a été dit sur les limitations d’un transfo d’alim « normal » (de type EI) utilisé en transfo de sortie : ça dépanne, mais ce n’est pas formidable, du fait d’un bobinage et de tôles non adaptés pour une bande passante étendue.

En revanche, les transformateurs toriques permettent une bande passante étendue, j’ai par exemple mesuré 70KHz à -3dB sans contre reaction avec un vulgaire transfo torique pour halogene…

Mais les toriques, il faut les prendre comme ils sont, pas question de les rebobiner (sauf bobineuse spéciale).

Les toriques n’ont pas d’entrefer, ils sont donc plutôt destiné aux push-pull (à condition d’avoir un point milieu, c’est à dire d’être de type 2x110V), mais je ne suis pas inquiet pour le noyau si on fait passer 60mA dans un transfo de 300VA, il ne devrait pas saturer…

Cependant, il faut garder à l’esprit que ce sont des transformateurs prévus pour une tension secteur, donc 220V, je déconseille fortement de les mettre dans un Push-pull dont la tension d’alim est de 500V, ce n’est a priori pas isolé pour.

Cordialement,

D’accord avec ce qui a été dit sur les limitations d’un transfo d’alim « normal » (de type EI) utilisé en transfo de sortie : ça dépanne, mais ce n’est pas formidable, du fait d’un bobinage et de tôles non adaptés pour une bande passante étendue.

En revanche, les transformateurs toriques permettent une bande passante étendue, j’ai par exemple mesuré 70KHz à -3dB sans contre reaction avec un vulgaire transfo torique pour halogene…

Mais les toriques, il faut les prendre comme ils sont, pas question de les rebobiner (sauf bobineuse spéciale).

Les toriques n’ont pas d’entrefer, ils sont donc plutôt destiné aux push-pull (à condition d’avoir un point milieu, c’est à dire d’être de type 2x110V), mais je ne suis pas inquiet pour le noyau si on fait passer 60mA dans un transfo de 300VA, il ne devrait pas saturer…

Cependant, il faut garder à l’esprit que ce sont des transformateurs prévus pour une tension secteur, donc 220V, je déconseille fortement de les mettre dans un Push-pull dont la tension d’alim est de 500V, ce n’est a priori pas isolé pour.

Cordialement,

Bonjour,

j’avais essayé (du temps ou j’étais radiophile) des transfo d’alim de téléviseur couleur Philips TVC4 (en supprimmant le « carrousel » carré 110/220 et connectant les divers primaires d’une autre facon ) en guise de transfo de sortie pour un push de 6L6 destiné a de la sono de PA, et ça fonctionnais pas trop mal…mais ça ne restais que de la sono de PA ! (et puis c’est lourd) :exclamation:

Avec ça ( un TA de TVC4 et des 6L6 ), et des cornets (des compression Bouyer bireflex) il y as déja de quoi faire du bruit , ça peut servir à sonoriser une brocante … ou une course à pied :wink: (et question isolement, ça tien 400 à 450V … et il vaut mieux pas aller au dela pour la survie des 6L6 surtout si c’est de la 6L6G ordinaire )

Bonjour à tous les rois de la BF,
.
…Je n’ai jamais fait d’essais dans ce genre d’essais de transfos d’alim, seulement passé au géné de petits transfos pour voir. A l’époque il n’y avait pas de toriques.
.
…Sur de petits transfos de marque Secré, militaires, en simple C, sans entrefer, mais je n’avais pas de continu à injecter, j’avais été étonné du très bon résultat en fréquence élevée, mon géné de l’époque (Ribet Desjardins) allait jusqu’à 15kHz. et au contraire sur du transfo petit, vendu pour poste de radio, genre 2W pour ECL82, vers les 2 à 3kHz ça chutait. Cela à vide et sans continu, et…sans CR!
.
…Avec une bonne CR, c’est à dire bien réglée, ce qui est tout l’art du constructeur de l’ampli, la bande passante d’un transfo s’élargit, dans le sens que les harmoniques diminuent.
.
…Il a été dit que l’on ne peut modifier un torique à la main, or dans mon article sur une alim (Radiofil N°10), j’explique comment le faire, c’est relativement facile. C’est comme ça que font les bobineuses spécialisées. Ce qu’il ne faut pas oublier, pour que le torique n’ait pas de fuites magnétiques, c’est que les enroulements, en charge, doivent être bien répartis régulièrement sur tout le tour. Ainsi un Rhéotor, ou Alternostat, ou Rototransfo (marques françaises, laissons les américains chez eux) travaille assez mal à ce pt de vue, le curseur interdisant d’utiliser toute la circonférence.
.
…Il ne faut pas trop se faire d’illusions sur l’imbrication des transfos BF de postes de radio, il n’y en a pas!
.
…De même, un poste de radio en marche, le transfo d’alim, question flux de fuite, c’est étonnant. Pour s’en rendre compte, on peut démonter un moteur de machine à laver, qui est dans le programmateur, récupérer la bobine de fil fin, installer ça au bout d’un tube IRO d’électricité, et brancher les deux fils sur un voltmètre digital, à 50cm, vous aurez encore une induction surprenante, tellement les transfos sont saturés. Il faut orienter la bobine de façon que les ‹ lignes magnétiques › (comme on apprend à l’école) la traversent au plus, ainsi on a une idée de la disposition géométrique du champ. Vous pouvez remplacer le voltmètre par un casque et aller à la chasse aux flux perdus. Ecouter votre poste téléphonique, S63, sur le côté.
.
…Puisque vous savez calculer un transfo, induction, rapport de transformation, et certainement tester des tôles, je trouve que les transfos les plus intéressants sont ceux en doubles C, faciles à ouvrir et refermer, il y en a 2 catégories, ceux pour 50Hz et ceux pour 400Hz en tôles très fines 0,1mm, qui devraient faire d’excellents transfos BF.
.
…Si un débutant me lit, qu’il sache qu’un transfo est capable, à chaque cycle de transférer une énergie, en joules, par ex 0,5joule. Donc sa puissance est proportionnelle à la fréquence, à 10Hz il fera 10x0,5=5W et à 10kHz 5kW! Bien sûr, d’autres limitations interviennent, mais c’est le principe du succès des alim à découpage, et aussi des bobines HF des postes, qui malgré une énergie par cycle très faible, arrivent à passer par ex 100W ou 1kW chez certains amateurs. Si la fréquence est de 10MHz, la puissance de 1kW, l’énergie par cycle est de 10^3/10^7=10^-4 J, donc 1/10.000e de joule!
.
…On en déduit qu’AUCUN transfo, même le plus luxueux, ne peut avoir la courbe de réponse horizontale que les fabricants présentent! Ils se foutent de notre figure. Dans le meilleur des cas c’est une droite en pente.
.
…Cela explique, à l’inverse des fréquences élevées, que les amplis à lampes aient des problèmes dans les sons graves, à zéro Hz, P=0. Dans les graves, c’est le transfo qui limite, et plus haut, ce sont les lampes qui limitent. Par ex, pour un push de 6L6G, si on ne veut pas les crever, il y a intérêt à éviter la classe A qui tue les lampes, et chercher à approcher la B qui les économise. sous 400V maxi, on peut avoir 30W de très bonne qualité, si le transfo n’a pas de pertes par hystérésis et courants de Foucault (Léon, celui du pendule du Panthéon) ni de flux de fuite, et le bobinage en fil pas trop petit. Mais, c’est plus facile à bobiner un gros transfo qu’un petit, le fil plus gros se range mieux, on peut compter les tours déjà faits sur une couche. Je compte 1kg pour 10W, donc 4kg pour 40W, en bons noyaux C. Vous m’excuserez pour mes façons un peu particulières de calculer les différents éléments, mais je déconseille les transfos d’alim, en 50Hz ils vont aller, mais à 10kHz il y aura des pertes énormes. Les tôles ne doivent pas dépasser 0,33mm d’épaisseur pour un transfo BF. pour 10W, un noyau de 25mmx25mm=6,25cm², donc 75 tôles.
.
…Et vous pouvez très simplement tester un transfo BF en puissance sur un rhéostat, en l’alimentant avec un Alternostat, et 2 voltmètres. Il vaut mieux, pour une construction personnelle, faire un push, même petit, avec 2xECL82, les graves passent bien mieux, la qualité de son est bien meilleure qu’avec une EL84 seule, surtout celle-là avec sa caractéristique en S (voir le petit fascicule:« les classes d’amplification » de Lucien Chrétien, indispensable à étudier).
.
…L’entrefer, oui, est obligatoire en lampe unique, pour diminuer l’induction et la remettre dans une partie linéaire, mais du coup vous tuez le transfo, la self se réduit terriblement, donc l’énergie par cycle, donc les graves! La physique n’obéit pas à la mode des « odiophiles » (je n’en suis pas l’auteur). Quant au flux de fuite, vous vous doutez qu’un entrefer est ce qu’il y a de mieux pour le créer. Dans ces conditions, faire de l’imbrication serait inutile.
.
…Et si vous voulez de la puissance, faites un push de 813!

« …la self se réduit terriblement, donc l’énergie par cycle, donc les graves… » ?
Curieuse théorie sur le transformateur qui laisse supposer que la puissance qui sort au secondaire transite par de l’énergie stockée dans la self primaire. :smiley:
Il est vrai qu’une self primaire trop faible court-circuite les graves, mais cela n’a rien à voir avec un transfert d’énergie.

Les tôles modernes à haute perméabilité ne peuvent pas stocker une énergie significative. Quand on veut stocker de l’énergie dans un circuit magnétique (self de filtrage, transfo d’alim à découpage « Fly-Back »,…) on met un entrefer.

On retrouve cette bizarre interprétation sur un site de matériel audiophile :
jcverdier.com/RTC/triodesp.htm
« Where is this power coming from? »
Pas trés sérieux… :confused:

Bonsoir M. Jardine.
.
…Oui, effectivement, W=1/2LI².
.
…C’est cette énergie, qui comme vous dites est « stockée » dans la masse magnétique par le primaire, et qui est renvoyée à l’extérieur par le secondaire, à chaque cycle. Il n’y en a pas d’autre, la capacité étant négligeable.
.
…Et c’est même général pour toutes les machines électriques: alternateurs, moteurs.
.
…Et seul L intervient, pas la perméabilité, ni valeur du coude de saturation.
.
…Les tôles à haute perméabilité ne sont pas de création moderne. (Anhyster D)
.
…Dans une self de filtrage, l’entrefer est réglé au minimum, s’il augmentait l’énergie stockée, on mettrait un très grand entrefer. Ce qu’on cherche, c’est, par cet entrefer, à augmenter la self en faisant travailler le circuit magnétique dans une zone linéaire. car quand la self est saturée, elle perd ses qualités magnétiques (Repensez aux amplis magnétiques, et aussi aux régulateurs à résonance). On part donc de zéro, et on augmente l’entrefer, la self commence à augmenter pour cause de désaturation, puis passe par un maxi, et diminue, et on revient au maxi de self, donc au mini d’entrefer, la self est réglée pour ce courant continu, pour un autre courant il faut régler la self différemment.
.
…Plus le courant continu sera important, plus on sera obligé d’augmenter l’entrefer, et plus la self sera mauvaise, par diminution de la self.
.
…C’est également valable pour les transfos des alims à découpage, et même les relais! Il suffit d’examiner le soin de Télémécanique pour réduire l’entrefer, dont les faces sont rectifiées à la rectifieuse, et les noyaux en doubles C qui sont vendus rectifiés et ‹ mariés ›, aussi pour réduire l’entrefer et avoir la self maxi, par diminution de la réluctance, et les noyaux toriques de même.
.
…J’ai un transfo torique, triphasé, il a tellement de self qu’au branchement sur réseau EDF, il faut sauter le disjoncteur! Il a besoin de trop de Joules d’un coup.
.
…Si je court-circuite le disjoncteur EDF pour forcer le « chargement » du circuit magnétique sans disjonction, la self est tellement énorme qu’avec une pince, on ne peut plus trouver le moindre courant dans chacun des fils de phase, secondaire non utilisé! Le courant est nul. Je fais donc sauter le disjoncteur avec un appareil qui ne consomme aucun courant.
.
…Si ce n’est pas sérieux, c’est que la nature n’est pas sérieuse.
.
…Je n’ai jamais vu cette théorie nulle part, et le contraire non plus.
.
…On m’avait dit, il y a un an de ça, que vous prépariez des candidats pour l’épreuve technique de l’examen de radioamateur, c’était vrai?

Cette théorie de l’énergie stockée dans un transformateur est totalement contraire au principe de fonctionnement.

Le principe de fonctionnement d’un transfo tient en 2 phrases :

1 – la tension primaire impose le flux (donc le champ B) dans le circuit magnétique selon la loi de Lenz
u = -e = Dérivée du flux par rapport au temps (résistances négligées)
En sinusoïdal cette loi dit que le champ magnétique est sinusoïdal de valeur maxi.:
Bmax = Up/(4,44.S.N.f) (connu sous le nom de formule de Boucherot)
Ce champ est définitivement imposé et ne changera plus, même en charge.

2 – Si on fait débiter le secondaire, le courant secondaire qui aurait tendance à modifier le flux précédemment calculé est immédiatement contré par l’appel d’un courant primaire tel que Np.Ip = Ns.Is, célèbre relation qui relie les courants primaire et secondaire.

L’énergie stockée dans le circuit magnétique n’à rien à voir là dedans et si le transfo était idéal (tôles de perméabilité infinie) l’énergie stockée serait nulle.


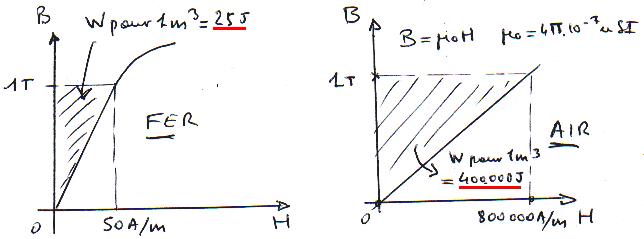
A propos de l’énergie stockée dans un circuit magnétique le schéma joint rappelle comment on la calcule d’après la courbe d’aimantation.
Selon l’exemple, 1 m3 (soit 7800 kg) de fer de qualité moyenne ne pourrait stocker que 25 Joules à 1 Tesla.
Un transfo de 7,8 kg de fer ne pourrait donc stoker que 0,025 J à B = 1T et si on adoptait la théorie que vous utilisez, la puissance secondaire à 50 Hz ne pourrait pas dépasser : 0,025 x 50 = 1,25 W… pour 7,8 kg de fer…

Par contre (second schéma) l’air est un très bon réservoir d’énergie.
Par exemple pour réaliser une self de 20H–0,1A ou l’énergie stockée sera : 1/2.(L.I²) = 0,1 J :

  • il suffira, pour B = 1T, d’un entrefer de 0,1/400000 = 250 mm3.
  • si on cherchait à réaliser la même self sans entrefer, il faudrait 0,1/25=0,004 m3 de fer soit 31.2 kg de fer !

Pardon pour ces petits rappels théoriques :smiley:

Je ne suis pas du tout radioamateur :frowning:
energie.JPG

Bonjour à M. Jardine et à tout le monde,
.
…M. Jardine me coupe le souffle! Je suis très content de cette contestation, qui je l’espère, va nous permettre d’en savoir plus sur les transfos.
.
…C’est vrai que je suis un obscur mécano, et non un théoricien de l’électricité, et je me base principalement dans ce que j’observe en pratique.
.
…Maintenant je n’ai jamais été raconter des conneries comme certaines que j’ai trouvées, écrites en gros sur le site d’amplis américain cité par M. Jardine:
.
…< 1 Joule = 1 Watt/seconde>
.
…Je n’ai pas dit non plus que c’est le primaire qui tient l’énergie en stock, mais qui la stocke dans le circuit magnétique, et M. Jardine nous dit qu’il n’y aucune énergie stockée dans la ferraille, ou tout au moins un terme négligeable, 7,5 tonnes de fer n’auraient que 25 Joules! Et si la perméabilité était infinie, l’énergie serait nulle. Je vois qu’au contraire, les transfos toriques absorbent plus de courant au démarrage que les transfos ordinaires EI.
.
…Je reviens à ce pauvre Américain qui nous dit qu’un très bon transfo BF a une self primaire de 20H. Alors si c’est tout ce qu’il a en Amérique, je lui conseille d’aller chez Audax acheter un petit TU101, transfo qui pèse 989g (je viens de le peser) et qui a une self de 200H.
.
…Quand je dis toujours que la technique française est supérieure à l’américaine, c’est un exemple frappant.
.
…Donc, d’après les croquis de M. Jardine, la primitive de H=f(B) serait homogène à une énergie. Madame Douriau, dans son livre sur les transfos, nous avait caché ce détail…Et donc j’aimerais que M. Jardine nous le démontre.
.
…D’après ce fait, plus un bobinage est mauvais, plus il stocke d’énergie, le maximum étant obtenu quand il n’y a pas de fer du tout, on se demande pourquoi on en met. On est bêtes.
.
…On est en mai, avril est fini, je me méfie, j’ai peur que M. Jardine ne nous avoue qu’il nous fait une grosse blague!
.
…Admettons qu’il ne blague pas. Comment expliquer, dans sa théorie du non stockage d’énergie, que mon transfo triphasé fasse sauter le compteur EDF au moment de ce que j’appelle son « chargement en énergie magnétique »?
.
…Et je rappelle qu’une fois chargé, il ne consomme plus rien, l’ampèremètre à pince, sur la sensibilité 10A, ne donne rien, je ne le mets pas pendant le chargement pour ne pas le griller.
.
…De même, une bobine de moteur à essence, est basée sur « ma » théorie, et on règle le Dwell justement pour optimiser le temps de « chargement » de la bobine en énergie magnétique, de façon qu’elle soit bien pleine quand le rupteur interviendra, pour dégager une étincelle la plus pleine d’énergie possible, pour allumer mieux le mélange carburé.
.
…Donc si on ne stocke rien, autant ramener le Dwell à zéro?
.
…De même, on règle le circuit oscillant d’un émetteur, (à part son accord) sur la quantité d’énergie qui transite entre la self et le condensateur, et on dit que ce CO a un rôle de volant d’inertie comme le volant d’un moteur de voiture. Tout cela ne vaut rien non plus?
.
…Donc j’attends des précisions supplémentaires de M. Jardine. J’ajoute seulement que je me souviens avoir vu un article sur Elektor, qui avait traité le « chargement » d’un transfo à vide, et montré l’enregistrement des courbes d’intensité pendant les premières sinusoïdes. Je leur ai redemandé cet article, ils ne savent même plus où il est.
.
…Et aussi, M. Jardine nous dit que l’induction B est la même quelle que soit la charge. Au contraire, j’ai entendu des transfos ronfler de plus en plus fort quand la charge augmente, même des transfos EDF de 1MW.
.
…Et s’agissant d’EDF, en cas de surcharge, il y a des risques d’explosions magnétiques (culasse qui s’échappe) des transfos HT énormes. D’où des fixations très fortes, bien plus grandes que nécessaires en service normal.
.
…J’attends donc les explications de M. Jardine, pour éclairer le sujet.

« Donc, d’après les croquis de M. Jardine, la primitive de H=f(B) serait homogène à une énergie. »

Exactement, c’est la formule qui traîne sur tous les cours de ferromagnétisme niveau Bac+1. Quant à la démontrer, ce n’est pas évident…, c’est de la physique théorique pure.
C’est de cette forme d’énergie que découle des concepts plus connus, comme la célèbre relation 1/2.L.I² qui donne l’énergie stockée dans une self (voir doc 1) ou qui dit que l’énergie perdue par hystérésis dans un transfo est égale à la surface du cycle d’hystérésis (pour 1 période et pour 1 m3, début d’explication sur le doc2).


« D’après ce fait, plus un bobinage est mauvais, plus il stocke d’énergie, le maximum étant obtenu quand il n’y a pas de fer du tout, on se demande pourquoi on en met ».

Je n’ai jamais dit qu’il ne fallait pas de fer, le fer sert à créer un fort champ magnétique B pour une faible excitation H.
(le champ B était appelé jadis « induction », l’excitation H était jadis appelée « champ »).
Pour une self, le fer sert aussi à canaliser les lignes de champ dans l’entrefer ou est stockée l’énergie 1/2.L.I².

Il est vrai que dans certains cas, le fait d’avoir un « mauvais fer » était un avantage. Par exemple sur un transfo de PP, un mauvais fer permettait de stoker l’énergie supplémentaire due au déséquilibre des composantes continue des lampes. Faire actuellement un transfo de PP sans entrefer avec des tôles qui saturent pour une excitation H = 20 A/m serait une aberration.

Les tôles modernes à haute perméabilité sont évidemment préférables pour un transfo en raison de leurs faibles pertes, de leurs performances en fréquence et… parce qu’elle ne stockent qu’une énergie négligeable.
Le peu d’énergie stockée dans un transfo est liée uniquement au courant réactif primaire à vide. Si on veut un courant à vide négligeable, il faut bien des tôles qui ne stockent pas d’énergie.


"Comment expliquer, dans sa théorie du non stockage d’énergie, que mon transfo triphasé fasse sauter le compteur EDF au moment de ce que j’appelle son « chargement en énergie magnétique »

C’est un phénomène très connu dû au « traînage magnétique ». Il existe un régime transitoire appelant parfois de très fortes surintensités (cela dépend de la valeur instantanée de la tension du réseau à la mise sous tension), le temps que le circuit s’aimante correctement et que le champ B « se cale » sur la tension du réseau avec son déphasage normal de 90°.


Pour ce qui est des bobines d’allumage ou des bobines HF, n’ont-elle pas un entrefer ?
Il est normal que l’énergie dans une self n’apparaisse pas instantanément. Si on applique une tension constante U aux bornes d’une self L, le courant croît selon la loi : i(t) = (U/L).t


« M. Jardine nous dit que l’induction B est la même quelle que soit la charge. Au contraire, j’ai entendu des transfos ronfler de plus en plus fort quand la charge augmente, même des transfos EDF de 1MW. »

C’est la loi de Lenz qui dit que le champ B ne change pas.
Il est difficile de contester que la tension primaire up, le courant primaire ip et le flux phi sont liés par la relation :

up = -e + Rp.ip ou « e » est la fem iduite = -d(phi)/dt

d(phi)/dt = up - Rp.ip

On voit bien que si la résistance Rp est négligeable le flux est indépendant du courant primaire, il est imposé uniquement par la tension up et il reste donc le même à vide et en charge. Dans le cas ou la résistance primaire ne serait pas négligeable, il aurait même tendance à diminuer en charge.

Enfin, le bruit d’un transfo en charge est dû aux vibrations des conducteurs qui sont soumis à des forces électromagnétiques d’autant plus forte qu’ils sont traversés par des courants importants. Pas aux vibrations du fer.
Idem pour les « explosions magnétiques ».

« j’ai peur que M. Jardine ne nous avoue qu’il nous fait une grosse blague! »

Hé non… Mais la discussion est intéressante.


Je ne sais pas si notre ami JC Verdier sera heureux d’apprendre qu’il est américain… Dans sa théorie du tranfo à stockage d’énergie, il termine en disant qu’il n’en est pas du tout certain … et il a bien raison de douter.
:smiley:
hyst.JPG
li_2.JPG

Bonjour M. Jardine, et tous qui s’intéressent aux transfos.
.
…Je n’ai rien à répondre pour le moment, n’ayant même pas un bouquin d’électricité à ma disposition, ni aucune possibilité de faire des mesures, par ex d’induction dans un transfo.
.
…Certaines choses qui sont dites sont tout à fait à mon goût, par ex le fait que l’intensité dépend du moment où on branche, dans le cycle. Si on branche en alternatif un transfo quand la tension est nulle, c’est là qu’il y a la surintensité maxi, c’est pourquoi tous les interrupteurs statiques commutent au zéro de tension, c’est pour griller les transfos et faire une surcharge plus violente au secteur.
.
… Il faudrait évidemment alimenter quand la tension passe au maxi et va redescendre. Mais de toute façon, selon moi, il faudra créer cette induction dans le fer.
.
…Le fait des transfos qui éclatent ne serait pas dû à des forces dans l’acier, mais aux efforts dans les conducteurs, et ce n’est pas l’acier qui vibre. On peut fabriquer un transfo avec du jeu entre le bobinage et l’acier, faire des fixations mécaniques séparées, donc isolées, et mesurer les vibrations respectives des éléments.
.
…Ce que je peux dire, comme mécano, c’est que n’ai jamais senti avec mes doigts de bobinage vibrer, par contre des tôles oui, et en serrant les tôles, cela ne vibre plus et EDF semble être de mon avis car les bobines ne sont pas spécialement fixées, souvent elles n’ont pas de joues (transfos 20kV) le fil pourrait s’échapper facilement sur le côté; par contre ils boulonnent sévèrement la ferraille, et Legrand soude même les entrefers pour bloquer les vibrations et réduire le champ de fuite. Pourquoi faire ça si le fer ne vibre pas?
.
…Et j’y pense, les contacteurs Télémécanique, qu’est-ce qui vibre quand ils vibrent? La bobine ne tient presque pas, c’est elle qui fait tout ce bruit?
.
…C’est dommage que l’on n’aie pu voir les équations aux dimensions.
.
…Bon dimanche, après tout cela on va se reposer un peu.

Je suis électrotechnicien de formation et je dois reconnaître que tout cela n’est pas évident. Dans l’enseignement on n’aborde l’aspect énergétique lié aux circuits magnétiques que dans l’enseignement supérieur après avoir embrouillé l’esprit des étudiants par des notions abstraites et compliquées.

Pourtant, passer par l’énergie aboutit à des calculs très simples et justifie la conception des machines électriques.
Comme indiqué dans un exemple plus haut, la valeur d’une inductance et le courant qu’elle doit supporter sans saturer donne directement le volume de l’entrefer.
Pour une inductance de 20 H qui fonctionne jusqu’à 0,1 A → il me faut 250 mm3 d’air dans le circuit magnétique. Elémentaire mon cher Watson… :smiley:
Le principe des machines n’est aussi jamais clairement énoncé et reste associé à d’obscures équations.

Si le principe du transfo, est difficile à admettre, c’est pire par pour l’alternateur (dont le principe de fonctionnement est exactement le même que celui du transformateur).
Allez expliquer à un étudiant de terminale, que si un alternateur est relié au réseau le flux est aussi imposé par la tension du réseau, qu’il ne change pas quand la puissance varie et qu’il ne dépend pas du tout du courant d’excitation… :open_mouth:

Bonjour a tous,

Et bien voila qui aura fait dérouler du le fil!

Et merci pour toutes vos considérations.
je vien de débobiner le secondaire pour arriver a 9 volts et ça fonctionne sufisament pour cequ je désire.
ce ne sont que des éssais, mais qui net tente rien…je vais débobiner pour descendre a 6 volt.

Dernière question si je veux travailler avec des 6V6 quelle tension au secondaire ?

merci a tous.

cordialement André

Voici une petite feuille de calcul Exel qui permet de transformer un petit transfo d’alim en transfo de sortie en ajoutant un entrefer.

Télécharger à : perso.orange.fr/tsf/tra_trs.xls (17 koctets)

On entre les données dans les cases vertes, les résultats apparaissent dans les cases jaunes.

  • On donne d’abord les tensions du transfo et l’impédance de charge de la lampe finale.
    On peut lire alors l’impédance du HP.

  • On donne ensuite la section du noyau central et on essai diverses valeurs d’entrefer jusqu’à ce que le courant continu que peut supporter le transfo soit suffisant.

Comme il n’est pas question de mesurer une cale d’entrefer à 1/100 de mm près, on vérifiera son réglage (essayer diverses feuilles isolantes) par la mesure de l’inductance primaire correspondante à cet entrefer. Les cases suivantes permettent facilement cette mesure sous 50 Hz.

… et si on donne la résistance interne de la lampe on à droit en cadeau à la fréquence minimale que peut transmettre le transfo modifié. :smiley:
transfo_a_s.gif

bonjour à tous

petit déterrage :slight_smile:

le lien du fichier Excel est mort.

est ce quelqu’un pourrais me le redonner ?

merci beaucoup